Page 785 of 864

6 - 48
–+ELEC
IMPIANTO DI CARICA
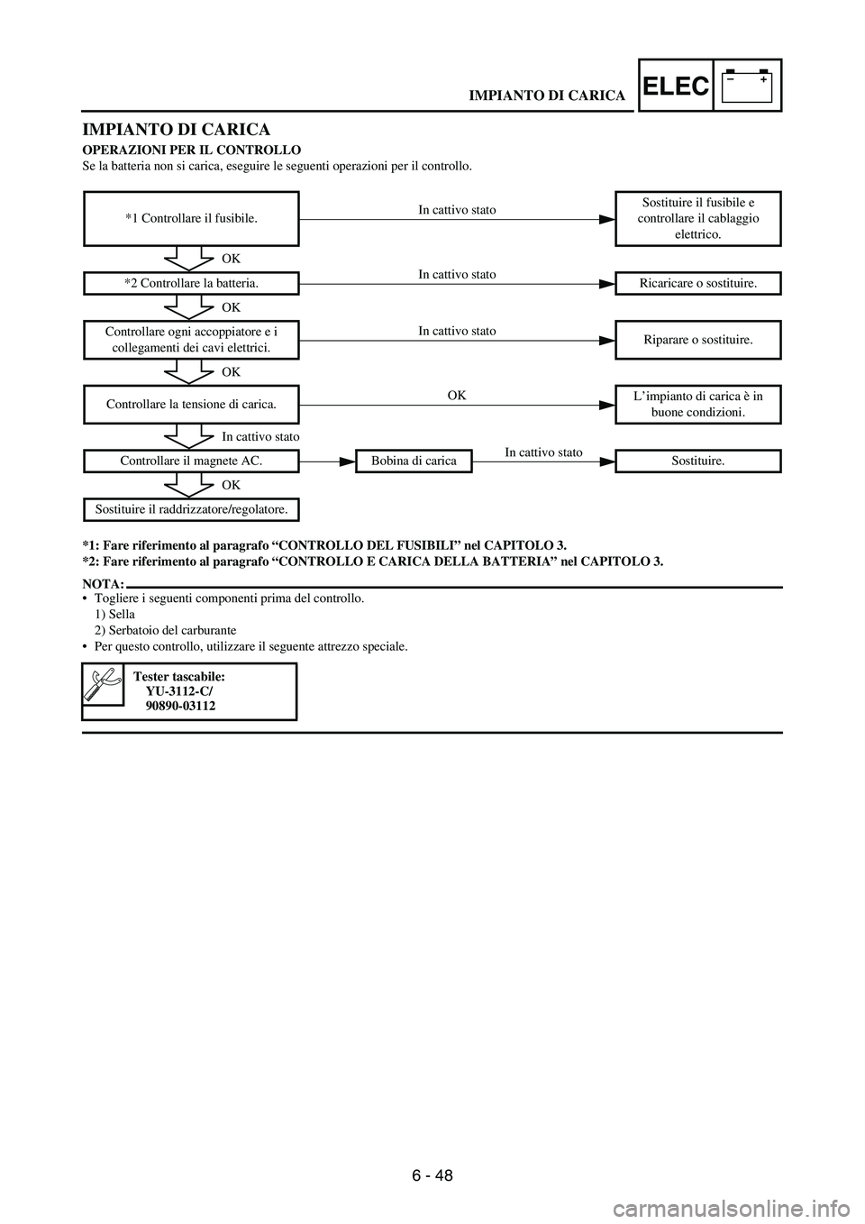
OPERAZIONI PER IL CONTROLLO
Se la batteria non si carica, eseguire le seguenti operazioni per il controllo.
*1: Fare riferimento al paragrafo “CONTROLLO DEL FUSIBILI” nel CAPITOLO 3.
*2: Fare riferimento al paragrafo “CONTROLLO E CARICA DELLA BATTERIA” nel CAPITOLO 3.
NOTA:
Togliere i seguenti componenti prima del controllo.
1) Sella
2) Serbatoio del carburante
Per questo controllo, utilizzare il seguente attrezzo speciale.
*1 Controllare il fusibile.Sostituire il fusibile e
controllare il cablaggio
elettrico.
*2 Controllare la batteria. Ricaricare o sostituire.
Controllare ogni accoppiatore e i
collegamenti dei cavi elettrici.Riparare o sostituire.
Controllare la tensione di carica.L’impianto di carica è in
buone condizioni.
Controllare il magnete AC. Bobina di carica Sostituire.
Sostituire il raddrizzatore/regolatore.
Tester tascabile:
YU-3112-C/
90890-03112
In cattivo stato
OK
In cattivo stato
OK
In cattivo stato
OK
OK
In cattivo stato
In cattivo stato
OK
IMPIANTO DI CARICA
Page 786 of 864
6 - 49
–+ELEC
SISTEMA DE CARGA
PROCEDIMIENTO DE REVISIÓN
Si la batería no está cargada utilice el procedimiento de comprobación siguiente.
*1 marcado: Consulte el apartado “COMPROBACIÓN DE LOS FUSIBLES” del CAPÍTULO 3.
*2 marcado: Consulte el apartado “COMPROBACIÓN Y CARGA DE LA BATERÍA” del CAPÍTULO 3.
NOTA:
Desmontar las piezas siguientes antes de proceder a la revisión.
1) Sillín
2) Depósito de combustible
Utilice la herramienta especial siguiente en esta revisión.
*1 Comprobar fusible.Cambiar el fusible y
comprobar el mazo de
cables.
*2 Comprobar batería. Recargar o cambiar.
Comprobar las conexiones de
todos los acopladores y cables.Reparar o cambiar.
Comprobar el voltaje de carga.Sistema de carga
correcto.
Comprobar la magneto CA. Bobina de carga Cambiar.
Cambiar el rectificador/regulador.
Comprobador de
bolsillo:
YU-3112-C/
90890-03112
Incorrecto
Correcto
Incorrecto
Correcto
Incorrecto
Correcto
Correcto
Incorrecto
Incorrecto
Correcto
SISTEMA DE CARGA
Page 787 of 864
Page 788 of 864

6 - 51
–+ELECCHARGING SYSTEM
EC624000COUPLERS AND LEADS
CONNECTION INSPECTION
1. Check:
Couplers and leads connec-
tion
Rust/dust/looseness/short-cir-
cuit
→ Repair or replace.
CHARGING VOLTAGE
INSPECTION
1. Start the engine.
2. Inspect:
Charging voltage
Out of specification
→ If no
failure is found in checking the
source coil resistance, replace
the rectifier/regulator.
Tester (+) lead →
Red lead 1
Tester (–) lead →
Black lead 2
Charging
voltageTester
selector
position
14.1 ~ 14.9 V
at 5,000 r/minDCV-20
R
BW Y1
2
3. Inspect:
Charging coil resistance
Out of specification
→
Replace.
Tester (+) lead →
White lead 1
Tester (–) lead →
Ground 2
Charging coil
resistanceTester
selector
position
0.288 ~ 0.432 Ω
at 20 °C (68 °F)Ω
×
1
CONTROLE DES CONNEXIONS
DES FICHES RAPIDES ET DES
FILS
1. Contrôler:
Connexion des fiches rapides et
des fils
Rouille/poussière/jeu/court-cir-
cuit → Réparer ou remplacer.
CONTROLE DE LA TENSION DE
CHARGE
1. Mettre le moteur en marche.
2. Contrôler:
Tension de charge
Hors spécifications → Si le con-
trôle de la résistance de la bobine
d’alimentation ne révèle aucun
problème, remplacer le redres-
seur/régulateur.
Fil (+) du multimètre →
fil rouge 1
Fil (–) du multimètre → fil noir 2
Tension de
chargePosition du
sélecteur du
multimètre
14,1 à 14,9 V à
5.000 tr/minDCV-20
3. Contrôler:
Résistance de la bobine de charge
Hors spécifications → Rempla-
cer.
Fil (+) du multimètre →
fil blanc 1
Fil (–) du multimètre → terre 2
Résistance de la
bobine de
chargePosition du
sélecteur du
multimètre
0,288 à 0,432 Ω à
20 °C (68 °F)Ω × 1
SYSTEME DE CHARGE
Page 789 of 864

6 - 52
–+ELEC
STECKVERBINDER- UND
KABELANSCHLÜSSE
KONTROLLIEREN
1. Kontrollieren:
Steckverbinder- und Kabelan-
schlüsse
Rostig/staubig/locker/kurzge-
schlossen
→ Instand setzen,
ggf. erneuern.
LADESPANNUNG
KONTROLLIEREN
1. Den Motor starten.
2. Kontrollieren:
Ladespannung
Nicht nach Vorgabe
→ Falls
der Erregerspulen-Wider-
stand in Ordnung ist, den
Gleichrichter/Regler erneuern.
Meßkabel (+) → Rot 1
Meßkabel (–) → Schwarz 2
LadespannungMeßgerät-
Wahl-
schalter
14,1–14,9 V bei
5.000 U/minDCV-20
3. Kontrollieren:
Ladespulen-Widerstand
Nicht nach Vorgabe
→ Erneu-
ern.
Meßkabel (+) → Weiß 1
Meßkabel (–) → Masse 2
Ladespulen-
WiderstandMeßgerät-
Wahl-
schalter
0,288–0,432 Ω
bei 20 °C
(68 °F)Ω × 1
CONTROLLO COLLEGAMENTI
ACCOPPIATORI E CAVI
1. Controllare:
Collegamenti accoppiatori e cavi
Ruggine/polvere/lentezza/corto-
circuito → Riparare o sostituire.
CONTROLLO TENSIONE DI
CARICA
1. Avviare il motore.
2. Controllare:
Tensione di carica
Non conforme alle specifiche →
Se durante il controllo della resi-
stenza della bobina sorgente non
si rilevano danni, sostituire il rad-
drizzatore/regolatore.
Tester (+) cavo → Cavo rosso 1
Tester (–) cavo → Cavo nero 2
Tensione di
caricaPosizione
del selettore
del tester
14,1 ~ 14,9 V a
5.000 giri/minDCV-20
3. Controllare:
Resistenza bobina di carica
Non conforme alle specifiche →
Sostituire.
Tester (+) cavo → Cavo bianco 1
Tester (–) cavo → Terra 2
Resistenza
bobina di caricaPosizione
del selettore
del tester
0,288 ~ 0,432 Ω a
20 °C (68 °F)Ω × 1
COMPROBACIÓN DE LA
CONEXIÓN DE ACOPLADORES Y
CABLES
1. Comprobar:
Conexión de acopladores y
cables
Óxido/staub/flojas/cortocir-
cuito
→ Reparar o cambiar.
COMPROBACIÓN DEL VOLTAJE
DE CARGA
1. Arranque el motor.
2. Comprobar:
Voltaje de carga
Fuera del valor especificado
→ Si no se encuentra ningún
fallo al comprobar la resisten-
cia de la bobina fuente, cam-
biar el rectificador/regulador.
Comprobador (+) cable →
Cable rojo 1
Comprobador (–) cable →
Cable negro 2
Voltaje de
cargaPosición
del selector
del com-
probador
14,1 ~ 14,9 V a
5.000 r/minDCV-20
3. Comprobar:
Resistencia de las bobinas de
carga
Fuera del valor especificado
→ Cambiar.
Comprobador (+) cable →
Cable blanco 1
Comprobador (–) cable →
Masa 2
Resistencia de
las bobinas de
carga Posición
del selector
del com-
probador
0,288 ~ 0,432 Ω
a 20 °C (68 °F)Ω × 1
LADESYSTEM
IMPIANTO DI CARICA
SISTEMA DE CARGA
Page 790 of 864
6 - 53
–+ELECTHROTTLE POSITION SENSOR SYSTEM
THROTTLE POSITION SENSOR SYSTEM
INSPECTION STEPS
If the throttle position sensor will not operate, use the following inspection steps.
NOTE:Use the following special tools in this inspection.
Check entire ignition
system for connection.Repair or replace.
Check throttle position sensor.Throttle position
sensor coilReplace.
Check CDI unit.Throttle position
sensor input
voltageReplace.
Pocket tester:
YU-3112-C/
90890-03112
No good
OK
No good
OK
No good
Page 791 of 864
6 - 54
–+ELEC
SYSTEME DU CAPTEUR DE POSITION DE PAPILLON DES GAZ
ETAPES DU CONTROLE
Si le capteur de position de papillon des gaz ne fonctionne pas, effectuer les contrôles suivants.
N.B.:
Utiliser les outils spéciaux suivants pendant le contrôle.
Contrôler les connexions de
l’ensemble du système d’allumage.Réparer ou remplacer.
Capteur de position de papillon des
gaz.Bobine du capteur
de position de
papillon des gazRemplacer.
Contrôler le boîtier CDITension d’entrée
du capteur de
position de papillon
des gazRemplacer.
Multimètre:
YU-3112-C/
90890-03112
Problème
OK
Problème
OK
Problème
SYSTEME DU CAPTEUR DE POSITION DE PAPILLON DES GAZ
Page 792 of 864
6 - 55
–+ELEC
DROSSELKLAPPENSENSOR
KONTROLLE
Folgende Prüfschritte dienen zur Diagnose des Drosselklappensensors, wenn dieser nicht funktioniert.
HINWEIS:
Folgendes Spezialwerkzeug für die Kontrolle verwenden.
Kabelanschlüsse des gesamten
Zündsystems kontrollieren.Instand setzen, ggf.
erneuern.
Drosselklappensensor
kontrollieren.Drosselklappens
ensor-SpuleErneuern.
Zündbox kontrollieren.Drosselklappen-
sensor-Eingangs-
spannungErneuern.
Taschen-Multimeter:
YU-3112-C/
90890-03112
Nicht in Ordnung
In Ordnung
Nicht in Ordnung
In Ordnung
Nicht in Ordnung
DROSSELKLAPPENSENSOR