Page 137 of 660
1372. Přístrojová deska
2
Přístrojová deska
HILUX_OM_OM0K269CZ_(EE)
Zobrazení výstražných hlášení
Zvolte pro zobrazení výstražných hlášení a opatření, které je nutno
provést, pokud je detekována porucha. (S. 562)
Zobrazení nastavení
Zvolte pro změnu nastavení zobrazení přístroje. (S. 634)
Multiinformační displej je ovládán
použitím spínačů ovládání přístroje.
Zadat/Nastavit
Zvolit položku/Změnit stránky
Návrat na předchozí obrazovku
Stisknutí: Zobrazí se obrazovka
zaregistrovaná jako hlavní ob-
razovka
Když nebyla zaregistrována žádná obrazovka, zobrazí se obrazovka infor-
mací o jízdě.
Stisknutí a podržení: Zaregistruje se aktuální obrazovka jako hlavní
obrazovka
Když se zobrazí potvrzovací obrazovka, zvolte yes (ano), abyste obrazov-
ku zaregistrovali. Pokud zvolenou obrazovku nelze zaregistrovat, zobrazí
se hlášení o selhání registrace.
Ovládání spínačů ovládání přístroje
1
2
3
4
Page 138 of 660

1382. Přístrojová deska
HILUX_OM_OM0K269CZ_(EE)
Zobrazené položky mohou být přepínány stisknutím "<" nebo ">" na
spína čích ovládání přístroje pro volbu a stisknutím "" nebo "".
● Okamžitá spotřeba paliva (sloupcový typ/číselný typ)*1, 2
Zobrazuje se okamžitá hodnota spotřeby paliva.
● Průměrná spotřeba paliva (po vynulování*3/po nastartování/po na-
tankování)*1, 2
Zobrazuje se pr ůměrná spotřeba paliva od vynulování této funkce,
od nastartování motoru a od natankování vozidla
● Průměrná rychlost (po vynulování*3/po nastartování)*1
Zobrazuje se průměrná rychlost vozidla, od vynulování této funkce
a od nastartování motoru.
● Uplynulý čas (po vynulování*3/po nastartování)*1
Zobrazuje se uplynulý čas, od vynulování této funkce a od nastarto-
vání motoru
● Vzdálenost (jízdní dosah/po nastartování)*1
Zobrazuje se odhadovaná maximální vzdálenost, kterou je možné
ujet se zbývajícím množstvím pali va a vzdálenost ujetá po nastarto-
vání motoru
• Tato vzdálenost je vypo čítána na základě vaší průměrné spotře-
by paliva. V d ůsledku toho může být skutečná vzdálenost, kterou
m ůžete ujet, odlišná od té zobrazené.
• Když je do nádrže p řidáno pouze malé množství paliva, zobraze-
ní se nemusí aktualizovat.
Když tankujete, vypn ěte spínač motoru. Pokud je vozidlo natan-
kováno bez vypnutí spína če motoru, zobrazení se nemusí aktua-
lizovat.
Informace o jízd ě
Page 139 of 660

1392. Přístrojová deska
2
Přístrojová deska
HILUX_OM_OM0K269CZ_(EE)
●Doba vypnutí motoru (je-li ve výbavě)
Ukazuje celkovou dobu nečinnosti motoru (doba vypnutí motoru
pomocí systému Stop & Start) po vynulování a nastartování motoru.
(S. 345)
●Zobrazení indikátoru zóny Eko-jízdy (je-li ve výbavě)
Zobrazuje se zóna Eko-jízdy a aktuální stupeň Eko-jízdy odvozený
od akcelerace. (S. 126)
●Eko skóre (je-li ve výbavě)
Zobrazuje se celkový výpočet Eko-jízdy, aby se napomohlo zlepše-
ní techniky Eko-jízdy zákazníka. (S. 141)
●Eko úspory (je-li ve výbavě)
Zobrazuje se srovnání spotřeby paliva, průměrná spotřeba paliva
po vynulování a náklady na spotřebované palivo. (S. 142)
●Upozornění na kličkování (je-li ve výbavě)
Detekuje kličkování vozidla v jízdním pruhu, což je často zapříčině-
no poklesem úrovně pozornosti řidiče, a zobrazuje pokles pozor-
nosti použitím sloupcového zobrazení.
Čím je sloupec delší, tím více potřebuje řidič odpočinek.
Toto zobrazení je součástí systému LDA (Varování před opuštěním jízd-
ního pruhu). Toto zobrazení se objeví, když jsou splněny podmínky klič-
kování vozidla. (S. 296)
●Vypnutí zobrazení
Zobrazí se prázdná obrazovka.
*1:Může být zaregistrováno do Informace o jízdě 1 a 2. (S. 140)
*2: Zobrazenou spotřebu paliva používejte jako referenční.
*3: Postup vynulování:
• Zvolte funkci, která má být vynulována, použitím spínačů ovládání pří-
stroje, a pak stiskněte a držte pro vynulování.
• Pokud je více než jedna funkce, která může být vynulována, zobrazí se
vedle těchto funkcí zatrhávací rámečky.
Page 140 of 660

1402. Přístrojová deska
HILUX_OM_OM0K269CZ_(EE)
Nastavení následujících položek může být změněno, viz S. 632.
●RSA (Asistent dopravních značek) (je-li ve výbavě)
Zvolte pro nastavení následujících položek.
• Zapnout/vypnout RSA
•Způsob upozornění (překročení rychlosti/jiné
*)
•Úroveň upozornění při překročení rychlosti
●Doba vypnutí motoru (je-li ve výbavě)
Zvolte pro změnu doby vypnutí motoru, když je zapnutý systém kli-
matizace.
●Jazyk
Zvolte pro změnu jazyka na displeji.
●Jednotky
Zvolte pro změnu jednotek měření spotřeby paliva.
●Indikátor Eko-jízdy (je-li ve výbavě)
Zvolte pro aktivaci/deaktivaci indikátoru Eko-jízdy. (
S. 126)
●Nastavení spínače
Jednu obrazovku můžete zaregistrovat jako hlavní obrazovku. Pro
registraci stiskněte a držte , když je zobrazena požadovaná ob-
razovka.
●Informace o jízdě 1 a 2
Zvolte pro volbu až 2 položek, které budou zobrazeny na obrazov-
ce informací o jízdě. Mohou být nastaveny až 2 obrazovky informa-
cí o jízdě.
●Vyskakovací zobrazení
Zvolte pro zapnutí/vypnutí následujících vyskakovacích zobrazení,
které se mohou objevit v některých situacích.
• Zobrazení navigace trasy systému s vazbou na navigační sys-
tém (je-li ve výbavě)
• Zobrazení příchozího volání systému hands-free telefonu (je-li ve
výbavě)
●Barva zvýraznění
Zvolte pro změnu barev zvýraznění na obrazovce, např. barvy kur-
zoru.
Zobrazení nastavení
Page 141 of 660

1412. Přístrojová deska
2
Přístrojová deska
HILUX_OM_OM0K269CZ_(EE)
●Eko úspory (je-li ve výbavě)
Zvolte pro nastavení nebo změnu srovnávání spotřeby paliva a ceny
paliva.
●Inicializace
Zaregistrovaná nebo změněná nastavení přístrojů mohou být vy-
mazána nebo vrácena do jejich výchozího nastavení.
*: Pouze upozornění na zákaz předjíždění.
■Vyskakovací zobrazení
V některých situacích, např., když je provedeno ovládání spínače, na multiin-
formačním displeji se dočasně zobrazí vyskakovací zobrazení.
Funkce vyskakovacího zobrazení může být zapnuta nebo vypnuta.
(S. 634)
■Eko skóre (je-li ve výbavě)
Jízdní podmínky jsou zobrazeny v 5 úsecích a jsou rozděleny do 3 kategorií:
rozjezd, jízda a zastavení. Při každém zastavení vozidla se zobrazí skóre.
(Při každé akceleraci vozidla se naposled zobrazené skóre vynuluje. Celková
skóre nejsou vypočítávána.)
Eko-jízda
Zobrazuje eko úroveň vypočtenou z množství ovládání akcelerace při jízdě
vozidla
Eko-zastavení
Zobrazuje eko úroveň vypočtenou z času mezi uvolněním plynového pedá-
lu a zastavení vozidla Eko skóre
Sčítá výpočty Eko-rozjezdu, Eko-jízdy
a Eko-zastavení a zobrazuje výsledek.
Eko-rozjezd
Zobrazuje eko úroveň vypočtenou ze
stupně akcelerace při rozjezdu vozidla
1
2
3
4
Page 142 of 660

1422. Přístrojová deska
HILUX_OM_OM0K269CZ_(EE)
Pokud není plynový pedál sešlápnut, nap ř. když jedete s vozidlem použitím
tempomatu (je-li ve výbav ě), ujetá vzdálenost se nezapočítá do Eko skóre.
Vyhodnocení Eko skóre se liší v závislosti na jízdních podmínkách a okolních
faktorech. Eko skóre nemusí mít vazbu na spot řebu paliva.
Eko skóre nebude fungovat za následujících podmínek:
● Rychlost vozidla je přibližně 130 km/h nebo vyšší.
● Řadicí páka je v poloze jiné než D. (vozidla s automatickou převodovkou)
● Spínač ovládání pohonu předních kol je v L4. (je-li ve výbavě)
● Systém asistenta pro jízdu z kopce je v činnosti. (je-li ve výbavě)
● Vozidlo je v režimu Power. (je-li ve výbavě)
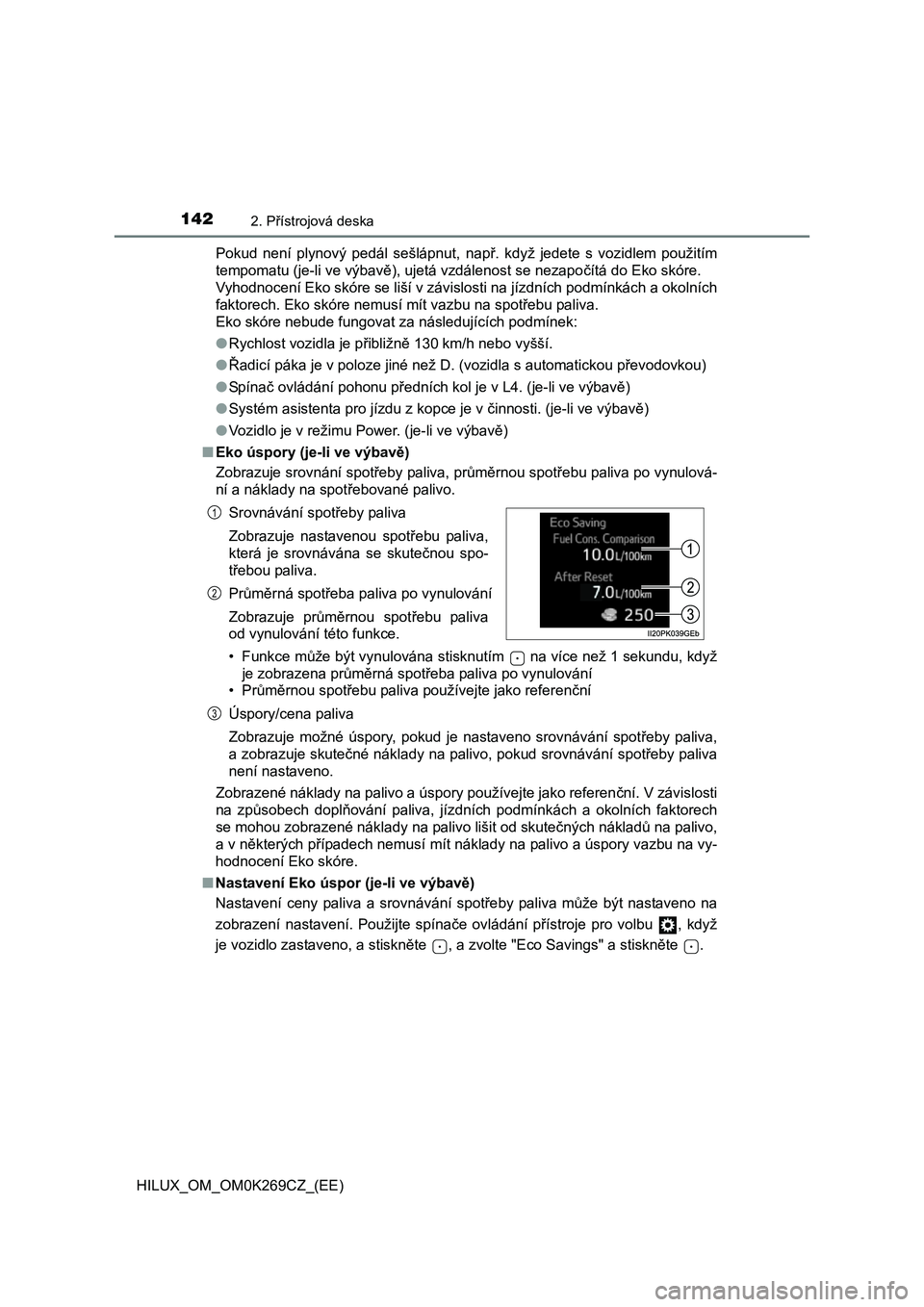
■ Eko úspory (je-li ve výbavě)
Zobrazuje srovnání spot řeby paliva, průměrnou spotřebu paliva po vynulová-
ní a náklady na spot řebované palivo.
• Funkce m ůže být vynulována stisknutím na více než 1 sekundu, když
je zobrazena pr ůměrná spotřeba paliva po vynulování
•Pr ůměrnou spotřebu paliva používejte jako referenční
Úspory/cena paliva
Zobrazuje možné úspory, pokud je nastaveno srovnávání spot řeby paliva,
a zobrazuje skute čné náklady na palivo, pokud srovnávání spotřeby paliva
není nastaveno.
Zobrazené náklady na palivo a úspory používejte jako referen ční. V závislosti
na zp ůsobech doplňování paliva, jízdních podmínkách a okolních faktorech
se mohou zobrazené náklady na palivo lišit od skute čných nákladů na palivo,
a v n ěkterých případech nemusí mít náklady na palivo a úspory vazbu na vy-
hodnocení Eko skóre.
■ Nastavení Eko úspor (je-li ve výbavě)
Nastavení ceny paliva a srovnávání spot řeby paliva může být nastaveno na
zobrazení nastavení. Použijte spína če ovládání přístroje pro volbu , když
je vozidlo zastaveno, a stiskn ěte , a zvolte "Eco Savings" a stiskněte .
Srovnávání spot řeby paliva
Zobrazuje nastavenou spot řebu paliva,
která je srovnávána se skute čnou spo-
t řebou paliva.
Pr ůměrná spotřeba paliva po vynulování
Zobrazuje pr ůměrnou spotřebu paliva
od vynulování této funkce.
1
2
3
Page 143 of 660
1432. Přístrojová deska
2
Přístrojová deska
HILUX_OM_OM0K269CZ_(EE)■Automatické zrušení zobrazení nastavení
V následujících situacích bude zobrazení nastavení, ve kterém bylo nastave-
ní změněno pomocí spínače ovládání přístroje, automaticky vypnuto.
●Pokud se objeví výstražné hlášení, když je zobrazeno zobrazení nastavení
●Pokud se vozidlo se začne pohybovat, když je zobrazeno zobrazení nasta-
vení
■Když jsou odpojeny a připojeny svorky akumulátoru
Data informací o jízdě a nastavení budou vynulovány.
■Displej z tekutých krystalů
Na displeji se mohou objevit malé nebo světlé skvrny. Tento jev je charakteri-
stický pro displeje z tekutých krystalů a takový displej můžete nadále bez pro-
blémů používat.
VÝSTRAHA
■Eko skóre
Eko skóre používejte jako referenční. Vždy jezděte bezpečně s ohledem na
stav vozovky a provozu.
Page 144 of 660

1442. Přístrojová deska
HILUX_OM_OM0K269CZ_(EE)
Informace o spotřebě paliva
St i sk něte tlačítko "CAR" (VŮZ).
Zvolte "Trip informatio n" (Informace o jízdě) nebo "Past record" (Mi-
nulý záznam).
■Informace o jízd ě
Pokud se obrazovka informací o jízd ě neobjeví, zvolte "Trip infor-
mation" (Informace o jízd ě).
Pr ůměrná rychlost vozidla
Jízdní dosah
P ředchozí spotřeba paliva po
minutách
Okamžitá spot řeba paliva
Vynulování údaj ů informací
ojízd ě
Uplynulý čas
Objeví se obrazovka "Past record" (Minulý záznam)
Pr ůměrná spotřeba paliva za posledních 15 minut je rozdělena ba-
revn ě do minulých průměrů a průměrů dosažených od posledního
zapnutí spína če motoru do polohy "ON" (vozidla bez systému bez-
klí čového nastupování a startování) nebo do režimu ZAPALOVÁNÍ
ZAPNUTO (vozidla se systémem bezklí čového nastupování a star-
tování). Zobrazenou hodnotu pr ůměrné spotřeby paliva používejte
jako referen ční.
Tyto obrázky jsou pouze p říklady a mohou se mírně lišit od aktuál-
ního stavu.
: Je-li ve výbav ě
Informace o spotřebě paliva mohou být zobrazeny na obrazovce
naviga čního systému nebo multimediálního systému.
Zobrazení obrazovky informací o jízdě nebo minulého záznamu
Spotřeba paliva
1
2
1
2
3
4
5
6
7