Page 313 of 1681

Power Steering Pressure (PSP) Switch Signal (USA)
This signals the ECM when the power steering load is high.
ECM CONNECTORS
Check lor an open in the wire (PSP
SW line):1. Turn the ignition switch ON (ll).
2. Measure voltage between ECM
connector terminals C16 andA9.
A {32P1LGl{BRN/BLK)
c (31P}
PSP SWIGRNI
Wire side oI female termanals
PSP SwlTCH 2P CONNECTOR IC311I
PSP SW {GRNI
luupen r-{ r \wrRE 4rl
GND (BLK)
Wire side oI female terminalsi,
Inspection ot PSP switch signal.
Check lor an op€n in the wire (PSP
SW linel:1. Turn the ignition switch OFF
2. Disconnect the PSP swirch 2P
3. Turn the ignition switch ON (ll).
4. At the wire side, connect the
PSP switch 2P connector ter
minals No. 1 and No.2 with a
iumper wire.5. Measure voltage teNveen ECM
connector terminals C16 andA9.
ls there less than 1.0 V?
- Repair open in the wire be-
tween the ECM lcl6l .nd the
PSP 3witch.- Repai. open in BLK wire be'
tween the PSP switch and
G301.
ls there less than 1.0 V7Check the operation of the PSPswitch:1- Stan the engine2. Turn steering wheel to full
3. Measure voltage between ECM
connector terminals c16 andA9.
ls there battery voltage?
PSP switch signal is oK.{To page l1 t09)
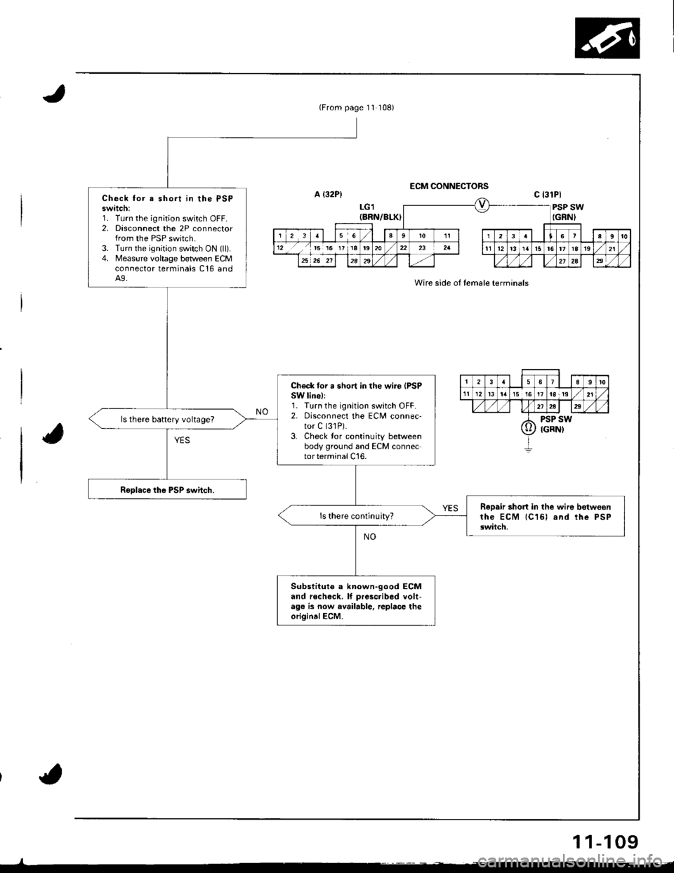
Page 314 of 1681
(From page 11 108)
Check tor e short in the PSPswitch:1. Turn the ignition switch OFF.2. Disconnect the 2P connectorfrom the PSP switch.3. Turn the ignition switch ON (ll).4. Measure voltage between ECMconnector terminals C16 andA9.
Ch€ck for a short in the wire {PSPSW lihell1. Turn the ignition switch OFF.2. Disconnect the ECM connec-tor C (31P).
3. Check tor continuity betweenbody ground and ECM connectorterminalCl6.
ls there battery voltage?
ReDair short in the wire betweenthe ECM lC16) and lhe PSPswitch.
Substituto a known-good ECMand recheck. lf prescribed volt-a96 is now available, replace theoriginalECM.
A {32P)ECM CONNECTORS
Wire side of temale terminals
c 13lPl
LG1{BRN/BLK)PSP SWIGRNI
1 1-109
Page 315 of 1681

ldle Control System
Fast ldle Thermo Valve (A/T model onlylFast ldle I nermo valve (A/ | mooel
Description
To prevent erratic running when the engine is warming
up. it is necessary to raise the idle speed. The fast idle
thermo valve is controlled by a thermowax plunger.
When the engine is cold, the engine coolant surround-
ing the thermowax contracts the plunger, allowing addi
tional air to be bvoassed into the intake manifold so that
the engine idles taster. When the engine reaches operat-
ing temperature, the valve closes. reducing the amount
of air bypassing into the manifold.
FAST IDLE THERMO
VALVE
VALVE
wAx
Inspection
NOTE: The fast idle thermo valve is factory adiusted; it
should not be disassembled.
1. Remove the intake air duct from the throttle body.
2. Start the engine.
3. Put your finger over the lower port in throttle body
and make sure that there is air flow with the engine
cold {engine coolant temperature below 86'F, 30"c).
LOWERPORT
lf there is no air flow, replace the last idle thermo
valve and retest.
Start the engine. Hold the engine at 3,000 rpm with
no load (in Park or neutral) until the radiator fan
comes on, then let it idle.
Check that valve is completely closed. lf not, air suc-
tion can be felt at the lower port in the throttle body.
l{ any suction is felt, the valve is leaking. Check
engine coolant level and for air in the engine
coolant system (see section 10). It OK, replace the
fast idle thermo valve and recheck.
5.
{1.0 kg.m,7.2lbftl
l
11-110
lL.
Page 316 of 1681

ldle Speed Setting
IDLEADJUSTINGSCREW
7.
6.Turn the ignition switch OFF.
Reconnect the 2P connectors to the IAC valve and
the EVAP purge control solenoid valve, then do the
ECM reset procedures.
Restart and idle the engine with no-load conditions
for one minute, then check the idle speed.
NOTE: (Canada) Pullthe parking brake lever up.
Start the engine, then check that the headlights are off.
ldle speed should be;
Bl88l €ngine:
Mfi750 i 50 rpm
A/T750150 rpm (in Park or neutral)
818C1 engine:750 i 50 rpm
818C5 engine: 800 i 50 rpm
NOTE: 81881, Bl8Cl engines - It the idle speed
increases to *1rpm, this means the EVAP system ispurging the canister. To stop the purging termporarily.
raise the engine speed above 1,000 rpm with the
accelerator pedal, then slowly release the pedal.
*1: 81881 engine
M/T: 820 i 50 rpm
Ay'T: 840 t 50 rpm
818Cl engine
850 I 50 rpm
(cont'd)
Inspection/Adiustmont
NOTE:
. When setting the idle speed, checkthe following items:- The MIL has not been reported on.- lgnition timing
Spark plugs- Air cleaner- PCV system
. (Canada) Pull the parking brake lever up. Start the
engine, then check that the headlights are off.
1. Start the engine. Hold the engine at 3,000 rpm with
no load (in Park or neutral) until the radiator fan
comes on, then let it idle,
Connect a tachometer.
Disconnect the 2P connectors from the ldle Air
Control (lAC) valve and the EVAP purge control
solenoid valve.
2.
5.
if the engine stalls, restan the engine with the accel
erator pedal slightly depressed. Stabilize the rpm at
1,000, then slowly release the pedal until the engine
idles.
Check idling in no-load conditions: headlights, blower
fan, rear defogger, radiator fan, and air conditioner
are not ope€tlng.
ldlo speed should be;
B188l engine:
Mlf480 :l 50 rpm
A/T480 i 50 rpm (in Park or neutral)
B18C1 engine: /t80 t 50 rpm
818C5 sngine:550 t 50 rpm
lf necessary, adjust the idle speed, by turning theidle adjusting screw.
After adjusting the idle speed, recheck the ignition
timing {see section 23). lf it is out of spec, go back
to steo 4.
Page 317 of 1681
ldle Control System
ldle Speed Setting (cont'dl
ldle the engine for one minute with headlights (Low)
ON and check the idle speed.
ldle 3peed should b€;
B1881 engine:
MIT750 t 50 rpm
750 i 50 rDm (in Park or neutrall
818C1 engine: 7501 50 nm
818C5 engine: 8001 50 rpm
Turn the headlights off. ldle the engine for one min-
ute with heater fan switch at Hl and air conditioner
on, then check the idle speed.
ldl. spood should be;
Bl8Bl ongin.:
M/T820 i 50 rpm
lvT840 t 50 rpm (in Park or neutral)
818C1 €ngino: 850 i 50 rpm
818C5 engino: 1,050 t 50 rpm
NOTE: lf the idle speed is not within specification.
see Symptom Chart on page 1!-36.
\
L
i
lIh:
lffiiltfl!
ffi
| 11-112
\
I
Page 318 of 1681
Fuel Supply System
Fuel Lines
Check fuel system lines, hoses, tuel filter, and other components for damage, leaks and deterioration. and replace if necessary.
1 1-1 13
Page 319 of 1681
l-
Fuel Supply System
Fuel Lines (cont'd)
Check all hose clamps and retighten if necessary.
GAUGEING UNIT
\'
Cl.mp in fto middl.
Clrmp in th. middl.
11-114
Page 320 of 1681

Fuel Tube/Ouick-Connect Fittings
Prgcautions
!@@ Do not smoke while working on the fuel
sysiem. K€ep open flames away from your work area.
The fuel tube/quick-connect fittings assembly connectsthe in-tank tuel pump with the fuelfeed pipe. For remov-
ing or installing the fuel pump and fuel rank, it is neces,sary to disconnect or connect the quick-connect fittings.
Pay attention to following:
r The fuel tube/quick-connect fittings assembly is not
heat-resistanU be careful not to damage it during weld-ing or other heat-generating procedures.
. The fuel tube/quick-connect fittings assembly is not
acid-proof; do not touch it with a shop towel which
was used for wiping battery electrolyte. Replace the
fuel tube/quick-connect fittings assembly if it came
into contact with electrolyte or something similar.
. When connecting or disconnecting the fuel tube/quick-
connect fittings assembly, be careful not to bend or
twist it excessively. Replace it if damaged.
A disconnected quick-connect fitting can be reconnected,
but the retainer on the matlng pipe cannot be reused once
it has been removed from the pipe. Replace the retainer
when- Replacing the fuel pump.- Replacing the fuel feed pipe.- It has been removed trom the oiDe.- lt is damaged.
RETAINER
I
Disconnection
t!!@ Do not smokc white working on the fuel
system. Keep open flames away from your wotk area.
'L Relievefuel pressure (see page 11-118).
2. Check the fuel quick-connect fittings tor dirt, andclean iI necessary.
3. Hold the connector with one hand and press down
the retainer tabs with the other hand, then pull the
connector off.
NOTE:
. Be careful not to damage the pipe or other parts.
Do not use tools.
. lf the connector does not move, keep the retainer
tabs pressed down, and alternately pull and push
the connector until it comes off easily.. Do not remove the retainer from the pipe; once
removed, the retainer must be replaced with a
new one.
LOCKING PAWL
RETAINER TAB
CONNECTOR
Press down,
4,Check the contacl area of the pipe for dirt and dam,
a9e.- lf the surface is dirty, clean it.- lf the surface is rusty or damaged, replace the fuelpump or fuel feed pipe.
(cont'd)
1 1-1 15
PIPE