1997 HONDA CIVIC Workshop Manual

Page 745 of 2189

HONDA CIVIC 1997 6.G Workshop Manual From page 14-66
Check Shift Conlrol Sol€noidvalve B tor a Short Circuit:1. Disconnect the 2P connectortrom the shift control solenoidvalve assembly.2. Check for continuity betweenthe 811 and Ag or A

Page 746 of 2189

HONDA CIVIC 1997 6.G Workshop Manual Electrical Troubleshooting (gO - 98 Modelsl
Troubleshooting Flowchart - Countershaft Speed Sensor
Po$iblo Causa
 Loosg or laulty conncctionbotwocn tho PCM and c.i hrr-n1t! Disconnoctad countorahot

Page 747 of 2189

HONDA CIVIC 1997 6.G Workshop Manual Measure CounteFhaft Sp€€d S6n-
sor Resistance:1. Connect the countershaftspeed sensor 2P connector,2, Measure the resistancebetween the B�23 and 822 telmtnals.
Repair looso terminal ol opon inthe

Page 748 of 2189

HONDA CIVIC 1997 6.G Workshop Manual Electrical Troubleshooting (96 - 98 Modelsl
Troubleshooting Flowchart - Mainshaft Speed Sensor
NOTE: Record all freeze data before you troubleshoot.
Po$ible Cause
. Disconnect€d mainshaft sD€edSe

Page 749 of 2189

HONDA CIVIC 1997 6.G Workshop Manual From page 14-70
Mea3uro Main3haft speed sensor
Resistance:1. Connect the ma;nshaft sPeed
sensol 2P connector,2. [/leasu re the resistancebetween the 815 and 814 ter_minals.
Run the Electical TrouH€.

Page 750 of 2189

HONDA CIVIC 1997 6.G Workshop Manual Electrical Troubleshooting (96 - 98 Modelsl
Troubleshooting Flowchart - Linear Solenoid
NOTE: Record all freeze data before vou troubleshoot,
Po$ible Caus6
. Disconnoctod lineaJ solonoidconnectot. Sh

Page 751 of 2189

HONDA CIVIC 1997 6.G Workshop Manual Check the G.ound Circuit:Check for continuity between theA9 and A10 terminals.
. Rapair opan in the wirobotweon th6 tormin.b Ag rndA10 and G101.. Raprir looc€ iunction connrc{or.. R.p.ir poor ground

Page 752 of 2189

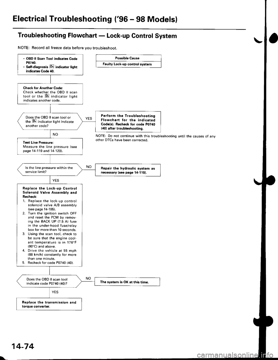
HONDA CIVIC 1997 6.G Workshop Manual Electrical Troubleshooting (96 - 98 Models)
Troubleshooting Flowchart - Lock-up Control System
NOTE: Record all freeze data before vou troubleshoot.
Possible Cause
Faulty Lock-up cont.ol system
NOTE: