Page 313 of 606

3135-5. Ulkoisen laitteen käyttö
5
Audiojärjestelmä
OM20C20FI
Paina SCAN-painiketta.
Jokaisen tiedoston alusta soitetaan 10 sekuntia.
Kun haluamasi tiedosto on esillä, paina painiketta toistamiseen.
Kelataksesi eteen- tai taaksepäin paina ja pidä painettuna "∧" tai " ∨"
-puolta SEEK TRACK -painikkeesta.
Painikkeen [RDM] painaminen vaihtaa toimintoja seuraavassa
järjestyksessä:
Kansion satunnaistoisto →Levyn satunnaistoisto →Pois päältä
Painikkeen [RPT] painaminen vaihtaa toimintoja seuraavassa
järjestyksessä:
Tiedoston toisto →Kansion toisto
*→Pois päältä
*: Käytettävissä paitsi silloin kun RDM (satunnaissoitto) on valittuna
Paina viritys-/vieritysnuppia (tyyppi A ja B) tai TEXT-painiketta (tyyppi C).
Raidan nimi, artistin nimi ja albumin nimi (vain MP3) näkyvät näytössä.
Palataksesi edelliseen näyttöön, paina paluupainiketta (tyypit A ja B) tai
[BACK]-painiketta (tyyppi C).
Kansion tiedostojen pikak uuntelu (vain tyyppi C)
Tiedostojen kelaus eteen- tai taaksepäin
Satunnaissoitto
Uudelleentoisto
Näytön tietojen vaihtaminen
1
2
OM20C20FI.book Page 313 Saturday, May 23, 2015 4:27 PM
Page 314 of 606

3145-5. Ulkoisen laitteen käyttö
OM20C20FI
■USB-muistin toiminnot
●Järjestelmään liitetyn USB-muistin ominaisuuksista riippuen laitetta ei ehkä
voi käyttää, ja eräät toiminnot eivät ehkä ole käytettävissä.
Jos laitetta ei voi käyttää tai toiminto ei ole käytettävissä toimintahäiriön
takia (ei siis järjestelmän ominaisuuksien takia), laitteen irrottaminen ja liittä-
minen uudelleen voi ratkaista ongelman.
● Jos USB-muisti ei toimi edes irrottamisen ja uudelleenliittämisen jälkeen,
alusta muisti.
■ Näyttö
→S. 295
■ Toimintahäiriöviestit
Jos toimintahäiriöviesti ilmestyy näyttöön, katso seuraava taulukko ja suorita
tarvittavat toimenpiteet. Jos vika ei korjaannu, ota yhteyttä valtuutettuun
Toyota-jälleenmyyjään tai -korjaamoon tai muuhun ammattitaitoiseen ja hyvin
varustettuun korjaamoon.
■ USB-muisti
●Soveltuvat laitteet
USB-muistit, joita voidaan käyttää MP3- ja WMA-toistoon
● Soveltuvat laiteformaatit
Seuraavia formaatteja voidaan käyttää:
• USB-tiedonsiirtoformaatit: USB2.0 FS (12mbps)
• Tiedostomuodot: FAT16/32 (Windows)
• Vastaavuusluokka: Massamuistiluokka
MP3 ja WMA-tiedostot, jotka on tallennettu johonkin muuhun formaattiin
kuin yllä luetellut, eivät ehkä toistu oikealla tavalla ja niiden nimet ja kan-
sioiden nimet eivät ehkä näy oikealla tavalla.
Standardien rajoitukset ovat seuraavat:
• Suurin kansiohierarkia: 8 tasoa
• Laitteen kansioiden enimmäismäärä: 999 (sis. juurikansion)
• Laitteen tiedostojen enimmäismäärä: 9 999
• Kansion suurin tiedostomäärä: 255
ViestiSyy/korjaustoimenpiteet
"USB error"Tämä viesti ilmoittaa ongelmasta USB-muis-
tissa tai sen liitännässä.
"NO MUSIC"Tämä viesti ilmoittaa, että USB-muistissa ei
ole MP3/WMA-tiedostoja.
OM20C20FI.book Page 314 Saturday, May 23, 2015 4:27 PM
Page 315 of 606

3155-5. Ulkoisen laitteen käyttö
5
Audiojärjestelmä
OM20C20FI●
MP3- ja WMA-tiedostot
MP3 (MPEG Audio LAYER 3) on äänitiedostojen pakkausmuoto.
Tiedostot voidaan pakata noin 1/10 sen alkuperäisestä koosta käyttäen
MP3-pakkausta.
WMA (Windows Media Audio) on Microsoftin kehittämä äänitiedostojen pak-
kausmuoto.
Tällä formaatilla voidaan äänitiedostoja pakata pienempään muotoon kuin
MP3-formaatilla.
Soveltuvien MP3- ja WMA-tiedostostandardien määrä on rajallinen samoin
kuin tallentamiseen soveltuvat tietovälineet/formaatit.
● MP3-tiedostojen yhteensopivuus
• Yhteensopivat standardit
MP3 (MPEG1 AUDIO LAYERII, III, MPEG2 AUDIO LAYERII, III,
MPEG2.5)
• Yhteensopivat näytteenottotaajuudet
MPEG1 AUDIO LAYERII, III: 32, 44,1, 48 (kHz)
MPEG2 AUDIO LAYERII, III: 16, 22,05, 24 (kHz)
MPEG2.5: 8, 11,025, 12 (kHz)
• Yhteensopivat bittinopeudet (yhteensopivat VBR:n kanssa) MPEG1 AUDIO LAYERII, III: 32 - 320 (kbps)
MPEG2 AUDIO LAYERII, III: 32 - 160 (kbps)
MPEG2.5: 32 - 160 (kbps)
• Yhteensopivat kanavatilat: stereo, joint stereo, dual channel ja mono
● WMA-tiedostojen yhteensopivuus
• Yhteensopivat standardit
WMA Ver. 9
• Yhteensopivat näytteenottotaajuudet HIGH PROFILE 32, 44,1, 48 (kHz)
• Yhteensopivat bittinopeudet HIGH PROFILE 32 - 320 (kbps, VBR)
● Tiedostonimet
Soitin pystyy tunnistamaan vain MP3/WMA-tiedostoja ja soittamaan tiedos-
toja, joiden tiedostopäätteet ovat .mp3 tai .wma.
● ID3- ja WMA-tagit
ID3-merkintä voidaan lisätä MP3-tiedostoihin, jolloin raitojen nimet, esittäjät
yms. voidaan tallentaa tiedostojen yhteyteen.
Järjestelmä on yhteensopiva ID3 Ver. 1.0, 1.1, ja Ver. 2.2, 2.3, 2.4 ID3-tagit.
(Merkkimäärät perustuvat tag-versioihin ID3 Ver. 1.0 ja 1.1.)
WMA-tiedostoihin voidaan lisätä WMA-tageja, jolloin raitojen nimet, esittäjät
yms. voidaan tallentaa tiedostojen yhteyteen samalla tavalla kuin ID3.
OM20C20FI.book Page 315 Saturday, May 23, 2015 4:27 PM
Page 316 of 606

3165-5. Ulkoisen laitteen käyttö
OM20C20FI●
MP3- ja WMA-tiedostojen soittaminen
• Kun MP3- tai WMA-tiedostoja sisältävä laite kytketään, tarkistaa soitin
ensin kaikki USB-muistissa olevat tiedostot. Kun tarkistus on suoritettu,
soittaa soitin ensimmäisen MP3- tai WMA-tiedoston. Tarkistuksen
nopeuttamiseksi suosittelemme, että et tallenna muita kuin MP3- tai
WMA-tiedostoja etkä luo turhia kansioita.
• Kun USB-muisti liitetään ja audiolähteeksi vaihdetaan USB-muistilaite,
USB-muisti aloittaa ensimmäisen kansion ensimmäisen tiedoston toista-
misen.
Jos sama laite irrotetaan ja liitetään uudelleen (eikä sisältö ole muuttu-
nut), USB-muisti jatkaa toistoa samasta kohdasta kuin missä sitä viimeksi
käytettiin.
● Tiedostopäätteet
Mikäli tiedostopäätteitä .mp3 ja .wma käytetään muissa kuin MP3- tai WMA-
tiedostoissa, ne ohitetaan (niitä ei toisteta).
● Soittaminen
• MP3-tiedostojen soittamiseksi hyvällä äänentoistolla suosittelemme käytettä-
väksi 128 kbps kiinteää bittinopeutta ja 44,1 kHz:n näytteenottotaajuutta.
• Markkinoilla on saatavana paljon erilaisia ilmaisohjelmia ja muita koo-
dausohjelmia MP3- ja WMA-tiedostoille. Huonosti suoritettu koodaus ja
vääränlainen tiedostomuoto saattaa heikentää äänen laatua ja aiheuttaa
häiriöääniä soittimen aloittaessa tiedoston soittamisen.
Tietyissä tapauksissa soittaminen ei ole lainkaan mahdollista.
• Microsoft, Windows ja Windows Media ovat Microsoft Corporationin Yhdysvalloissa ja muissa maissa rekisteröimiä tavaramerkkejä.
VAROITUS
■ Varo ajaessasi
Älä liitä USB-muistia tai käytä säätimiä.
Muuten seurauksena voi olla kuolemaan tai vakavaan loukkaantumiseen
johtava onnettomuus.
HUOMAA
■Estääksesi USB-muistin tai sen liitännän vaurioitumisen
● Älä jätä USB-muistia autoon. Lämpötila autossa saattaa nousta korkeaksi.
● Älä paina USB-muistia alaspäin tai kohdista siihen tarpeetonta voimaa, kun
se on liitetty.
● Älä aseta vieraita esineitä liitäntään.
OM20C20FI.book Page 316 Saturday, May 23, 2015 4:27 PM
Page 317 of 606
317
5
5-5. Ulkoisen laitteen käyttö
Audiojärjestelmä
OM20C20FI
AUX-liitännän käyttö∗
→S. 280
■Audiojärjestelmään kytkettyjen kan nettavien audiolaitteiden käyttö
Äänenvoimakkuutta voi säätää auton audiojärjestelmän säätimistä. Kaikki
muut säädöt on tehtävä kannettavasta audiojärjestelmästä.
■ Kun käytät kannettavaa audiojärjestelmää, joka on kytketty auton sähkön
ulosottoon
Soitettaessa saattaa kuulua häiriöääniä. Käytä kannettavan audiojärjestelmän
virtalähdettä.
∗: Joissakin malleissa
Tätä liitintä voidaan käyttää kannettavan audiolaitteen kytkemi-
seksi ja kuuntelemiseksi auton kaiut timista. Paina MODE-painiketta
useita kertoja, kunnes "AUX" ilmestyy näyttöön.
Kannettavan soittimen liittäminen
OM20C20FI.book Page 317 Saturday, May 23, 2015 4:27 PM
Page 318 of 606
3185-6. Bluetooth®-laitteiden käyttö
OM20C20FI
Bluetooth®-audio/-puhelin∗
◆Bluetooth®-audio
Bluetooth
® audio -järjestelmä mahdollistaa langattoman musiikin
kuuntelun kannettavalta soittime lta auton kaiuttimien kautta.
Tämä audiojärjestelmä tukee Bluetooth
®-järjestelmää, langatonta
tietojärjestelmää, jonka avulla vo idaan soittaa kannettavaa soitinta
ilman johtoja. Jos kannettava so ittimesi ei tue Bluetooth
®-järjestel-
mää, Bluetooth®-audiojärjestelmä ei toimi.
◆Bluetooth®-puhelin (hands-free- puhelinjärjestelmä)
Audiojärjestelmä tukee Bluetoothia
®, mikä mahdollistaa puheluiden
vastaanottamisen ja soittamisen kytkemättä matkapuhelinta joh-
dolla järjestelmään ja kä yttämättä matkapuhelinta.
∗: Joissakin malleissa
Seuraavia asioita voidaan tehdä käyttämällä langatonta Bluetooth®-
yhteyttä:
OM20C20FI.book Page 318 Saturday, May 23, 2015 4:27 PM
Page 319 of 606
3195-6. Bluetooth®-laitteiden käyttö
5
Audiojärjestelmä
OM20C20FI
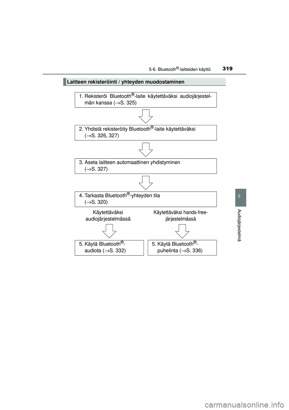
Laitteen rekisteröinti / yhteyden muodostaminen
1. Rekisteröi Bluetooth®-laite käytettäväksi audiojärjestel-
män kanssa (→ S. 325)
2. Yhdistä rekisteröity Bluetooth®-laite käytettäväksi
( → S. 326, 327)
5. Käytä Bluetooth®-
audiota ( →S. 332)5. Käytä Bluetooth®-
puhelinta ( →S. 336)
3. Aseta laitteen automaattinen yhdistyminen
(→ S. 327)
4. Tarkasta Bluetooth®-yhteyden tila
( → S. 320)
Käytettäväksi
audiojärjestelmässä
Käytettäväksi hands-free- järjestelmässä
OM20C20FI.book Page 319 Saturday, May 23, 2015 4:27 PM
Page 320 of 606