
Downloaded from www.Manualslib.com manuals search engine Power Assisted Steering System: 6C-15
3Communication check
1) Check DLC terminal for deformation and wear.
2) If it is in good condition, connect SUZUKI scan tool to
DLC with ignition switch tuned OFF.
3) Check if communication is possible by making
communication with other control modules (BCM, ABS,
HVAC control module or SDM).
Is it possible to communicate with the other control
modules?Go to Step 4. Go to Step 6.
4Serial communication circuit check
1) With ignition switch turned OFF, disconnect “E11”
connector from P/S control module and check for proper
connection at P/S control module connector terminal.
2) If connections are OK, check that “Serial data circuit” is
as follows.
• Wiring resistance of “Serial data circuit” wire between
DLC connector and P/S control module connector is
less than 1 Ω.
Is it resistance less than 1
Ω?Go to Step 5. “Serial data circuit” is
open or high resistance.
5P/S control module power and ground circuit check
1) Check power supply circuit and ground circuit for P/S
control module referring to “P/S Control Module Power
Supply and Ground Circuit Check”.
Is check result in good condition?Substitute a known-
good P/S control
module and recheck.Repair or replace
defective circuit.
6DLC power and ground circuit check
1) Check power supply circuit and ground circuit for DLC
connector as follows.
• Voltage of “DLC connector power supply circuit”
between DLC connector terminal and vehicle body
ground is 10 –14 V with ignition switch turned ON.
• Wire resistance of each “DLC connector ground
circuit” between DLC connector terminal and vehicle
body ground is less than 1 Ω.
Is check result in good condition?Go to Step 7. Repair or replace
defective circuit.
7Serial communication circuit check
1) With ignition switch turned OFF, disconnect “E11”
connector from P/S control module and check for
terminal to P/S control module connector.
2) If connections are OK, check that “Serial data circuit” is
as follows.
• Insulation resistance of “Serial data circuit” wire is
infinity between its terminal and other terminals at P/S
control module connector.
• Insulation resistance of “Serial data circuit” wire is
infinity between its terminal and vehicle body ground.
Is circuit in good condition?Go to Step 8. Repair or replace
defective circuit. Step Action Yes No

Downloaded from www.Manualslib.com manuals search engine 6C-16 Power Assisted Steering System:
“EPS” Warning Light Does Not Come ON with Ignition Switch Turned ON before Engine StartsS6RW0D6304010
Wiring Diagram8Scan tool operation check
1) Check if communication is possible by making
communication with other vehicles.
Is it possible to communicate with the other vehicle?Scan tool is in good
condition, check
intermittent trouble
referring to “Intermittent
and Poor Connection
Inspection in Section
00”.Recheck PCMCIA card
and DLC cable for faulty
condition. If they are
OK, scan tool is faulty. Step Action Yes No
[A]
123
4567
8
9 11
10 12 13
141516
17 18 1920
1
2
[B]
10 9 8 7654 3 21
16 15 14 13 12 11
26 25 24 2322 21 20 19 18 17
32 31 30 29 28 27
[C]
LT GRN/BLKE11-1E13-1 GRNGRN
WHT
7
8
311
12
13
5
6 10
4 12
12V
E13-2BLK
G241-31
RED/BLK
G241-25E11-5GRY
9
I6RW0C630003-01
[A]: P/S control module connector No.1 “E11” (viewed from harness side) 4. Main fuse 10. “IGN” fuse
[B]: P/S control module connector No.2 “E13” (viewed from harness side) 5. Combination meter 11. “P/S” fuse
[C]: Combination meter connector “G241” (viewed from harness side) 6. “EPS” warning light 12. “IG1 SIG” fuse
1. Main fuse box 7. P/S control module 13. “MTR” fuse
2. Ignition switch 8. Individual circuit fuse box No.1
3. Junction block assembly 9. “EPS” warning light circuit

Downloaded from www.Manualslib.com manuals search engine Power Assisted Steering System: 6C-17
Circuit Description
Operation (ON/OFF) of “EPS” warning light is controlled by P/S control module through combination meter.
If the P/S system is in good condition, P/S control module turns “EPS” warning light ON at the ignition switch ON, and
then turns it OFF at the engine start. If an abnormality in the system is detected, “EPS” warning light is turned ON
continuously by P/S control module. If P/S control module is disconnected, “EPS” warning light is not turned ON.
Troubleshooting
Step Action Yes No
1“EPS” warning light power supply check
1) Turn ignition switch ON.
Do the other warning light come on?Go to Step 2. “GRN”, “RED/BLK” wire
circuit or circuit fuse for
combination meter is
open or short to ground.
2Fuse check
1) Turn ignition switch OFF.
2) Remove and inspect circuit fuse for P/S control module.
Is fuse in good condition?Reinstall fuse, and then
go to Step 3.Check “GRN” wire
circuit for short to
ground.
If OK, replace fuse.
3P/S control module power supply and ground circuit
check
Check power supply circuit and ground circuit for P/S control
module referring to “P/S Control Module Power Supply and
Ground Circuit Check”.
Is check result in good condition?Go to Step 4. Repair or replace
defective circuit.
4Combination meter power supply circuit check
1) Remove combination meter and disconnect combination
meter connector (“G241”) with ignition switch turned
OFF.
2) Check for proper connection to the combination meter at
“G241-31” terminal.
3) If OK, check voltage between “G241-31” (“RED/BLK”
wire) terminal and body ground with ignition switch ON.
Is it 10 – 14 V?Go to Step 5. “RED/BLK” wire circuit
is open or short to
ground.
5“EPS” warning light circuit resistance check
1) Check for proper connection to the combination meter at
“G241-25” terminal and P/S control module at “E11-5”
terminal.
2) Check that “EPS warning light circuit” is as follows.
• Insulation resistance of “EPS warning light circuit”
wire is infinity between its terminal and each terminal
at combination meter connector.
• Wiring resistance of “EPS warning light circuit” wire is
less than 1 Ω.
• Insulation resistance of “EPS warning light circuit”
wire is infinity between its terminal and vehicle body
ground.
Is circuit in good condition?“GRY” wire circuit is
open.Go to Step 6.
6“EPS” warning light circuit voltage check
1) Connect combination meter connector (“G241”) with
ignition switch turned OFF.
2) Check for voltage between “E11-5” (“GRY” wire) terminal
and body ground with ignition switch ON.
Is it 10 – 14 V?Replace the P/S control
module.Replace the
combination meter.

Downloaded from www.Manualslib.com manuals search engine 6C-18 Power Assisted Steering System:
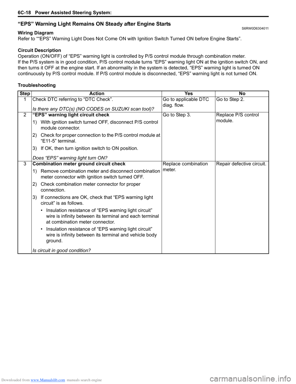
“EPS” Warning Light Remains ON Steady after Engine StartsS6RW0D6304011
Wiring Diagram
Refer to ““EPS” Warning Light Does Not Come ON with Ignition Switch Turned ON before Engine Starts”.
Circuit Description
Operation (ON/OFF) of “EPS” warning light is controlled by P/S control module through combination meter.
If the P/S system is in good condition, P/S control module turns “EPS” warning light ON at the ignition switch ON, and
then turns it OFF at the engine start. If an abnormality in the system is detected, “EPS” warning light is turned ON
continuously by P/S control module. If P/S control module is disconnected, “EPS” warning light is not turned ON.
Troubleshooting
Step Action Yes No
1 Check DTC referring to “DTC Check”.
Is there any DTC(s) (NO CODES on SUZUKI scan tool)?Go to applicable DTC
diag. flow.Go to Step 2.
2“EPS” warning light circuit check
1) With ignition switch turned OFF, disconnect P/S control
module connector.
2) Check for proper connection to the P/S control module at
“E11-5” terminal.
3) If OK, then turn ignition switch to ON position.
Does “EPS” warning light turn ON?Go to Step 3. Replace P/S control
module.
3Combination meter ground circuit check
1) Remove combination meter and disconnect combination
meter connector with ignition switch turned OFF.
2) Check combination meter connector for proper
connection.
3) If connections are OK, check that “EPS warning light
circuit” is as follows.
• Insulation resistance of “EPS warning light circuit”
wire is infinity between its terminal and each terminal
at combination meter connector.
• Insulation resistance of “EPS warning light circuit”
wire is infinity between its terminal and vehicle body
ground.
Is circuit in good condition?Replace combination
meter.Repair defective circuit.

Downloaded from www.Manualslib.com manuals search engine Power Assisted Steering System: 6C-19
DTC C1111 / C1113 / C1115: Torque Sensor Circuit FailureS6RW0D6304012
DTC C1111: Steering Torque Sensor (Main) Circuit Voltage
DTC C1113: Steering Torque Sensor (Main and Sub) Circuit Correlation
DTC C1115: Steering Torque Sensor (Sub) Circuit Voltage
Wiring Diagram
DTC Detecting Condition and Trouble Area
[A]
123
453 21
4
5
67
8
9 11
10 12 13
141516
17 18 1920
1
2
[B]
[C]
LT GRN/
BLK
WHT GRN
BLK
E11-1
E11-10E11-8
E11-9
E11-19
E13-1 GRN
GRY
GRN
WHT
5
6
37
10
11
9
4 12
12V
E13-2BLK
9V
REDE11-20
5VYELE11-18E31-5
E31-2
E31-39V
E31-43V
E31-1
8
8
I6RW0C630004-02
[A]: P/S control module connector No.1 “E11” (viewed from harness side) 3. Junction block assembly 8. Torque sensor signal circuit
[B]: P/S control module connector No.2 “E13” (viewed from harness side) 4. Main fuse 9. “IGN” fuse
[C]: Torque sensor connector “E31” (viewed from harness side) 5. P/S control module 10. “P/S” fuse
1. Main fuse box 6. Torque sensor 11. “IG1 SIG” fuse
2. Ignition switch 7. Individual circuit fuse box No.1
DTC detecting condition Trouble area
DTC C1111:
Circuit voltage of sensor main is more than 4.5 V or less
than 0.5 V
(1 driving cycle detection logic)
DTC C1113:
Difference between steering torque calculated based on
sensor main signal and steering torque calculated based
on sensor sub signal is more than 4.9 N⋅m
or
Difference between instantaneous value and average
value of steering torque calculated based on sensor main
signal and steering torque calculated based on sensor sub
signal is more than 2.94 N⋅m
(1 driving cycle detection logic)
DTC C1115:
Circuit voltage of sensor sub signal is more than 4.5 V or
less than 0.5 V
(1 driving cycle detection logic)• Torque sensor signal circuit
• Torque sensor
• P/S control module

Downloaded from www.Manualslib.com manuals search engine 6C-20 Power Assisted Steering System:
DTC Troubleshooting
Step Action Yes No
1Was “EPS System Check” performed?Go to Step 2. Go to “EPS System
Check”.
2DTC check
Is DTC C1153 or C1116 indicated, together?Go to applicable diag.
flow.Go to Step 3.
3Torque sensor signal circuit check
1) With ignition switch turned OFF, disconnect torque
sensor connector.
2) Check for voltage between following terminal with
ignition switch ON.
• “E11-18” (“YEL” wire) terminal and body ground
• “E11-10” (“WHT” wire) terminal and body ground
Is it about 0 V?Go to Step 4. Torque sensor signal
circuit is shorted to
other circuit.
4Torque sensor circuit check
1) Disconnect P/S control module connector.
2) Check that torque sensor signal circuit is as follows.
• Insulation resistance of wire harness is infinity
between “Torque sensor signal circuit” terminal and
other terminal at torque sensor connector.
• Wiring harness resistance of “Torque sensor signal
circuit” is less than 1 Ω.
• Insulation resistance between “Torque sensor signal
circuit” and vehicle body ground is infinity.
Is circuit in good condition?Go to Step 5. Repair or replace
defective circuit.
5Torque sensor check
1) Connect connectors to P/S control module and torque
sensor with ignition switch turned OFF.
2) Check torque sensor out put voltage referring to “Torque
Sensor and Its Circuit Inspection”.
Is torque sensor in good condition?Substitute a known-
good P/S control
module and recheck.Go to Step 6.
6P/S control module resistance check
1) With ignition switch turned OFF, disconnect torque
sensor connector.
2) Check for resistance between following terminal with
ignition switch ON.
• “E11-18” (“YEL” wire) terminal and body ground
• “E11-10” (“WHT” wire) terminal and body ground
Is it about 1 k
Ω?Replace steering gear
case.Replace P/S control
module.

Downloaded from www.Manualslib.com manuals search engine Power Assisted Steering System: 6C-21
DTC C1116: Steering Torque Sensor Power Supply CircuitS6RW0D6304013
Wiring Diagram
DTC Detecting Condition and Trouble Area
DTC Troubleshooting
[A]
123
453 21
4
5
67
8
9 11
10 12 13
141516
17 18 1920
1
2
[B]
[C]
LT GRN/
BLK
WHT GRN
BLK
E11-1
E11-10E11-8
E11-9
E11-19
E13-1 GRN
GRY
GRN
WHT
5
6
37
10
11
9
4 12
12V
E13-2BLK
9V
REDE11-20
5VYELE11-18E31-5
E31-2
E31-39V
E31-43V
E31-1
8
I6RW0C630005-02
[A]: P/S control module connector No.1 “E11” (viewed from harness side) 3. Junction block assembly 8. Torque sensor power supply circuit
[B]: P/S control module connector No.2 “E13” (viewed from harness side) 4. Main fuse 9. “IGN” fuse
[C]: Torque sensor connector “E31” (viewed from harness side) 5. P/S control module 10. “P/S” fuse
1. Main fuse box 6. Torque sensor 11. “IG1 SIG” fuse
2. Ignition switch 7. Individual circuit fuse box No.1
DTC detecting condition Trouble area
Circuit voltage of torque sensor 9 V power supply is less
than 7 V
(1 driving cycle detection logic)• Torque sensor 9 V power supply circuit
• Torque sensor
• P/S control module
Step Action Yes No
1Was “EPS System Check” performed?Go to Step 2. Go to “EPS System
Check”.
2DTC check
Is DTC C1153 indicated, together?Go to applicable DTC
diag. flow.Go to Step 3.
3Torque sensor power supply voltage check
1) With ignition switch turned OFF, disconnect torque
sensor connector.
2) Check for voltage between “E31-3” (“GRN” wire)
terminal and body ground with ignition switch ON.
Is it approx. 9 V?Go to Step 4. Go to Step 5.
4Torque sensor power supply voltage check
1) With ignition switch turned OFF, connect torque sensor
connector.
2) Check for voltage between “E11-8” (“GRN” wire)
terminal and body ground with ignition switch ON.
Is it approx. 9 V?Substitute a known-
good P/S control
module and recheck.Replace steering gear
case.

Downloaded from www.Manualslib.com manuals search engine 6C-22 Power Assisted Steering System:
DTC C1121 / C1123 / C1124: Vehicle Speed Signal Circuit FailureS6RW0D6304014
DTC C1121: No Vehicle Speed Signal (60 Seconds or More)
DTC C1123: No Vehicle Speed Signal (30 Seconds or More)
DTC C1124: Vehicle Speed Performance (Impossible Deceleration)
Wiring Diagram5Torque sensor power supply circuit check
1) Check that torque sensor power supply circuit is as
follows.
• Insulation resistance of wire harness is infinity
between “Torque sensor power supply circuit” terminal
and each other terminal at torque sensor connector.
• Wiring harness resistance of “Torque sensor power
supply circuit” is less than 1 Ω.
• Insulation between “Torque sensor power supply
circuit” and vehicle body ground is infinity.
Is circuit in good condition?Replace P/S control
module.Repair or replace
defective circuit. Step Action Yes No
[A]
123
4567
8
9 11
10 12 13
141516
17 18 1920
1
2
[B]
BRN RED/
BLU LT GRN/
BLK
E11-1
E11-14
E11-12
E13-1 GRN
GRN
WHT
8
3 10
12
13
11
4 1
2
12V
E13-2BLK
12V
12V
9 5
77
E11-11
G04-15
[E]G04-22
5V
PPL
E11-4
BLU/
WHTE04-9
6
14
IG11615
C07-25
[D][C]
[F]E01-44E01-4
[F]E01-27E01-26
I6RW0D630003-01
[A]: P/S control module connector No.1 “E11” (viewed from harness side) 3. Junction block assembly 11. “IGN” fuse
[B]: P/S control module connector No.2 “E13” (viewed from harness side) 4. Main fuse 12. “P/S” fuse
[C]: M/T model 5. ECM 13. “IG1 SIG” fuse
[D]: A/T model 6. BCM 14. Vehicle speed signal
[E]: Junction block without BCM model (Taiwan model) 7. Front left/right wheel speed sensor 15. TCM
[F]: M15A engine with 4A/T equipped with slip control model (Hong Kong model) 8. P/S control module 16. Output shaft speed sensor
1. Main fuse box 9. ABS control module
2. Ignition switch 10. Individual circuit fuse box No.1